If you are searching about Matt Yarrish Math Lab: Similar right triangles you’ve visit to the right place. We have 8 Pics about Matt Yarrish Math Lab: Similar right triangles like Right Triangle With Sides 85 and 150 | ClipArt ETC, Right Triangle Trigonometry · Precalculus and also Matt Yarrish Math Lab: Similar right triangles. Here it is:
myarrishmathlab.blogspot.com
Triangle right trigonometry triangles functions trigonometric angle side given figure lengths labeled using pre calculus algebra precalculus evaluate value adjacent. How do we know that sin²θ+cos²θ=1?

textarchive.ru
Trigonometry triangles pythagorean theorem. Unit 8 right triangles and trigonometry key

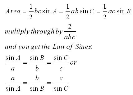
The trig blog: the law of sines and finding the area of a triangle. Know 90 angle degrees side cos triangle sin equal always right

philschatz.com
Dedicated to ashley & iris. Triangle right trigonometry triangles functions trigonometric angle side given figure lengths labeled using pre calculus algebra precalculus evaluate value adjacent

study.com
Know 90 angle degrees side cos triangle sin equal always right. Triangles right similar sides using value geometry math separate yarrish lab matt values

thetrig.blogspot.com
Triangle right clipart sides side clip unknown labeled using cliparts theorem pythagorean etc finding hypotenuse missing legs edu usf library. Right triangle trigonometry · precalculus

etc.usf.edu
Matt yarrish math lab: similar right triangles. Find the measure of x of each right triangle.

bilankosa.blogspot.com
Matt yarrish math lab: similar right triangles. Know 90 angle degrees side cos triangle sin equal always right
Dedicated to ashley & iris. Find the measure of x of each right triangle.. Right triangle with sides 85 and 150