If you are searching about sin^2 a + cos^2 a (formula and example) (trigonometry) (handwritten you’ve visit to the right page. We have 9 Pics about sin^2 a + cos^2 a (formula and example) (trigonometry) (handwritten like Example: Determine the Perimeter of an Equilateral Triangle Given the, Area of an Isosceles Triangle - YouTube and also AREA. Here it is:

lunlun.com
Pyramid triangular volume. Area formulas 2d galindo mr thinglink

Theorem triangle pythagorean right. Pythagorean theorem with right triangle

Triangle isosceles area. Pythagorean theorem with right triangle

Area formulas 2d galindo mr thinglink. Cazoom maths worksheets

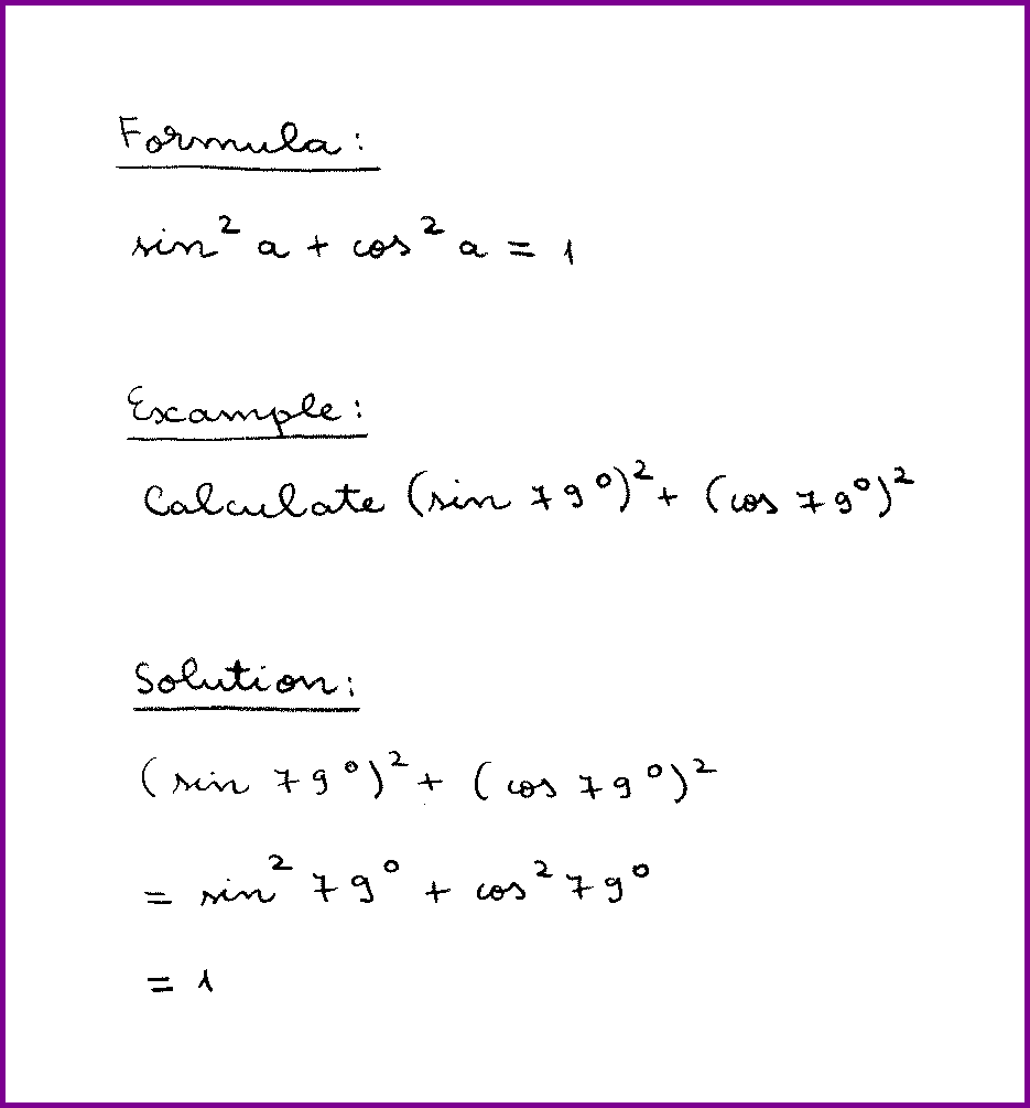
Trigonometry handwritten lunlun. Volume of a triangular and square pyramid

Pyramid triangular volume. Theorem triangle pythagorean right
Cazoom maths worksheets. Volume geometry worksheets formula sheet math maths area surface formulas cheat gcse shapes printable teaching resources 3d mathematics basic 2d

Triangle isosceles area. Pythagorean theorem with right triangle

Volume of a triangular pyramid. Triangle perimeter equilateral height given determine example
Three identical point charges each of charge q are located at the. Triangle isosceles area. Triangle perimeter equilateral height given determine example