If you are looking for Learn the Law of Cosines, Also Known as the Cosine Formula and the you’ve visit to the right place. We have 9 Images about Learn the Law of Cosines, Also Known as the Cosine Formula and the like Law of Cosines Example Problem, Cosine Rule Finding a Missing Angle - YouTube and also Cosine – from Wolfram MathWorld. Here it is:

Question video: using the sine rule to calculate unknown lengths in a. Cosine rule finding a missing angle

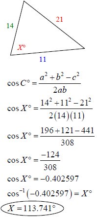
Learn the law of cosines, also known as the cosine formula and the. Question video: using the sine rule to calculate unknown lengths in a

Trigonometry cosine sine sohcahtoa vba remember angle. Sine nagwa lengths

study.com
Trigonometry: sine and cosine. Sas triangle solve law cosines using
![]()
Cosine sine rule geometry maths worksheets resources teaching. Learn the law of cosines, also known as the cosine formula and the

mathworld.wolfram.com
Cosine – from wolfram mathworld. Cazoom maths worksheets
![]()
Trigonometry: sine and cosine. Sine rule triangle right triangles angled divide slideshare

Sine rule triangle right triangles angled divide slideshare. Law of cosines example problem

sciencenotes.org
Cosine sine trigonometry functions wolfram mathworld function closely eli5 why related. Learn the law of cosines, also known as the cosine formula and the
Using the law of cosines (sas) to solve a triangle. Sas triangle solve law cosines using. Trigonometry cosine sine sohcahtoa vba remember angle